Círculos y Esferas (Ecuaciones)¶
Otro de esos conceptos importantes en el mundo de los videojuegos es la ecuación de un círculo. Por ejemplo se utiliza cuando quieres mover un objeto formando un camino circular o también para crear una área de colisión circular alrededor de otro objeto.
Ecuación del círculo¶
Debes recordar que en un plano, como la pantalla, un círculo es una serie de puntos a una determinada distancia, el radio, de un punto fijo llamado el centro. Sólo con estos dos elementos, el centro y el radio, es posible determinar la ecuación de un círculo, que tiene mucho que ver con el teorema de Pitágoras.

Ecuación de un círculo
En la siguiente figura podemos observar un círculo con centro en(1,2) y un radio de 2:

¿Reconoces al teorema de Pitágoras? Quizá es más fácil si tomamos un círculo centrado en el origen (0,0):

Ecuación de un círculo en el origen
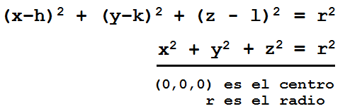
Ya hemos visto la ecuación del círculo, pero ¿qué pasa si lo trasladamos al espacio tridimensional?
Ecuación de la esfera¶
Una esfera es el resultado de un círculo en el espacio girando alrededor de su punto central. Las esferas se utilizan para representar bolas, pero también pueden ser utilizadas como límite geométrico de objetos complejos tales como automóviles o naves espaciales. A menudo en el el desarrollo 3D se utilizan esferas delimitadoras para simplificar la detección de colisiones entre dos objetos que no requieren colisión precisa. Al igual que un círculo, la esfera está definida por un centro y un radio. La única diferencia es que el punto central tiene tres coordenadas en lugar de dos:

Ecuación de una esfera
De la misma forma que antes cuando el centro está en el origen la ecuación se simplifica:

Ecuación de una esfera en el origen